Ziet u een fout in deze regeling? Meld het ons op regelgeving@overheid.nl!
Terneuzen

Bodemkwaliteitskaart PFAS Zeeuws-Vlaanderen

Wetstechnische informatie

Gegevens van de regeling
OrganisatieTerneuzen
OrganisatietypeGemeente
Officiële naam regelingBodemkwaliteitskaart PFAS Zeeuws-Vlaanderen
CiteertitelBodemkwaliteitskaart PFAS Zeeuws-Vlaanderen
Vastgesteld doorcollege van burgemeester en wethouders
Onderwerpmilieu
Eigen onderwerp

Opmerkingen met betrekking tot de regeling

Geen

Wettelijke grondslag(en) of bevoegdheid waarop de regeling is gebaseerd

Onbekend

Overzicht van in de tekst verwerkte wijzigingen

Datum inwerkingtreding

Terugwerkende kracht tot en met

Datum uitwerkingtreding

Betreft

Datum ondertekening

Bron bekendmaking

Kenmerk voorstel

11-03-2021Bodemkwaliteitskaart PFAS Zeeuws-Vlaanderen

11-03-2021

gmb-2021-136062

Tekst van de regeling

Intitulé

Bodemkwaliteitskaart PFAS Zeeuws-Vlaanderen

1. INLEIDING

 

 

1.1 Aanleiding: de PFAS-problematiek

 

Tijdelijk handelingskader d.d. 8 juli 2019: onderzoeksplicht voor PFAS

 

Op 8 juli 2019 heeft de staatssecretaris van Infrastructuur en Waterstaat een Kamerbrief verstuurd met het ‘Tijdelijk handelingskader voor hergebruik van PFAS-houdende grond en baggerspecie’ (lit. 1). De inhoud hiervan wordt op termijn in de regelgeving opgenomen middels een wijziging van de Regeling bodemkwaliteit.

 

Het handelingskader is gericht op het aantreffen in het milieu van de stoffen perfluoroctaanzuur (PFOA), perfluoroctaansulfonaat (PFOS) en HFPO-DA (GenX). Deze stoffen behoren tot de stofgroep poly- en prefluoralkylstoffen (stofgroep PFAS), een stofgroep die uit ruim 6000 stoffen bestaat. Volgens het handelingskader moeten initiatiefnemers, tot duidelijk is of er onbelaste gebieden in Nederland zijn, in het kader van de zorgplicht het gehalte aan PFAS meten in te verzetten grond en baggerspecie, die uit land- en waterbodem wordt ontgraven.

 

Op de website van Rijkswaterstaat-Bodem+ is een advieslijst d.d. 12 juli 2019 gepubliceerd met 30 (28 waarvan 2 lineair en vertakt) te meten PFAS. GenX is niet opgenomen in de advieslijst van te meten PFAS, maar onderaan de advieslijst is vermeld dat men GenX alleen bij verdenking hoeft te meten.

 

 

Stagnatie in projecten door PFAS

 

In de afgelopen jaren leidde het in de bodem van land en water aantreffen van PFAS met name in de Randstad tot problemen bij grondverzet en baggerwerkzaamheden. Zo is een groot gebied verontreinigd geraakt door de jarenlange uitstoot van PFAS door de fabriek van Dupont-Chemours in Dordrecht. Het tijdelijk handelingskader van 8 juli 2019 was beoogd om die projecten weer vlot te trekken.

 

Voor PFAS is in de landelijke regelgeving nog geen normering vastgelegd. Formeel volgt uit de landelijke regelgeving dat bij niet-genormeerde stoffen in het kader van de zorgplicht wordt getoetst aan de bepalingsgrens. In het tijdelijk handelingskader is deze voor PFAS gesteld op 0,1 μg/kgds. Als interpretatie van de zorgplicht was derhalve aanvankelijk voor de bodemfunctie landbouw/natuur in het tijdelijk handelingskader van 8 juli 2019 een normwaarde opgenomen van 0,1 μg/kgds.

 

Inmiddels is bekend dat in den lande meestal hogere gehalten PFAS worden gemeten dan deze 0,1 μg/kgds. Dat geldt ook voor de provincie Zeeland.

 

Het aantreffen van hogere gehalten dan 0,1 μg/kgds en onzekerheid over de juridische consequenties van de aanwezigheid van PFAS in grond en bagger leidde per saldo tot meer stagnatie in de GWW-sector.

 

 

 

Geactualiseerde versie tijdelijk handelingskader d.d. 29 november 2019

 

Het RIVM heeft op 28 november 2019 een advies uitgebracht voor tijdelijke landelijke achtergrond-waarden voor PFAS (lit. 2), gebaseerd op een compilatie van diverse onderzoeken naar PFAS uit verschillende delen van Nederland. De Minister voor Milieu en Wonen heeft deze als voorlopige achtergrondwaarden overgenomen in de geactualiseerde versie van het tijdelijk handelingskader voor PFAS d.d. 29 november 2019 (lit. 3), die zij op 1 december 2019 aan de Tweede Kamer heeft gezonden.

Daarnaast bevat dit tijdelijk handelingskader voorlopige toepassingswaarden voor een aantal andere situaties.

 

De voorlopige achtergrondwaarden uit het tijdelijk handelingskader van 29 november 2019 zijn als volgt:

  • voor alle individuele PFAS: 0,8 μg/kgds. met uitzondering van PFOS

  • voor PFOS: 0,9 μg/kgds

 

Voor de bodemkwaliteits- en bodemfunctieklassen wonen en industrie vermeldt het tijdelijk handelingskader de volgende toepassingswaarden (ook wel aangeduid als de 3/7/3/3 waarden):

  • voor alle individuele PFAS: 3 μg/kgds. met uitzondering van PFOA

  • voor PFOA: 7 μg/kgds

 

Deze 3/7/3/3 waarden gelden voor toepassingen op de landbodem boven grondwaterniveau (tot ten hoogste 1 meter onder het maaiveld bij gebieden met een hoge grondwaterstand).

 

Het tijdelijk handelingskader voor PFAS en de hierin opgenomen toepassingswaarden waaronder de voorlopige achtergrondwaarden hebben echter nog niet de formele status van regelgeving. Dit is pas het geval na opname van deze voorlopige achtergrondwaarden en overige toetsingswaarden in bijlage B van de Regeling bodemkwaliteit en bekendmaking hiervan in de Staatscourant.

 

Het is de bedoeling dat op termijn wel een definitieve normstelling voor PFAS wordt opgenomen in de Regeling bodemkwaliteit . Daarvoor moet eerst landelijk nog een aantal onderbouwende onderzoeken worden afgerond. In afwachting van deze onderzoeken zijn de toepassingswaarden uit het tijdelijk handelingskader veilig gekozen. Het valt daarom niet te verwachten dat de definitieve normering strenger uitpakt dan de voorlopige toepassingswaarden.

 

Van gemeenten wordt verwacht dat zij bodemkwaliteitskaarten en eventueel gebiedsspecifiek beleid voor PFAS vaststellen.

 

 

Tijdelijk handelingskader PFAS d.d. 2 juli 2020 met definitieve achtergrondwaarden

 

Eind juni heeft het RIVM het onderzoek naar de landelijke achtergrondwaarden van PFAS in de Nederlandse bodem afgerond (lit. 5). Deze zijn als definitieve achtergrondwaarden opgenomen in een nieuwe versie van het tijdelijk handelingskader PFAS (lit. 6), dat op 3 juli 2020 door de Staatssecretaris voor Infrastructuur en Waterstaat is toegezonden aan de Tweede Kamer.

 

 

Deze definitieve landelijke achtergrondwaarden zijn als volgt:

  • PFOA (som lineair + vertakt): 1,9 μg/kgds

  • PFOS (som lineair + vertakt): 1,4 μg/kgds

 

De overige PFAS zijn in het onderzoek van het RIVM zelden boven de detectiegrens aangetoond. In het tijdelijk handelingskader is opgenomen dat voornoemde achtergrondwaarde van PFOS (1,4 μg/kgds) ook als toepassingswaarde geldt voor de overige PFAS.

 

Voornoemde achtergrondwaarden worden naar verwachting in het voorjaar van 2021 in de regelgeving verankerd middels een wijziging van de Regeling bodemkwaliteit.

 

 

1.2 Bodemkwaliteitskaart PFAS Zeeuws-Vlaanderen en achtergrondwaarden PFAS in Zeeland

 

Onderzoeksgegevens PFAS

 

In de zomer van 2019 waren binnen Zeeuws-Vlaanderen (en de rest van Zeeland) slechts incidenteel meetgegevens voor PFAS bekend.

 

Sindsdien zijn langs twee sporen onderzoeksgegevens van PFAS beschikbaar gekomen:

  • met een gestratificeerd aselecte steekproef zijn 40 meetlocaties in het buitengebied van Zeeuws-Vlaanderen bepaald, waar de bodem bemonsterd en geanalyseerd is op de PFAS uit de advieslijst van Bodem+ d.d. 12 juli 2019;

  • bij bodemonderzoeken ten behoeve van projecten zijn – veelal met het oog op hergebruik van vrijkomende grond – tevens analyses op PFAS uitgevoerd. Deze gegevens zijn vervolgens opgenomen in het gezamenlijke bodeminformatiesysteem (Nazca) van de Zeeuwse gemeenten en de provincie.

 

Deze dataset wordt toegelicht in hoofdstuk 2.

 

 

Bodemkwaliteitskaart PFAS Zeeuws-Vlaanderen

 

Op basis van de onderzoeksgegevens uit Zeeuws-Vlaanderen is voorliggende bodemkwaliteitskaart opgesteld van PFAS in Zeeuws-Vlaanderen (gemeenten Hulst, Sluis en Terneuzen). De bodemkwaliteits-kaart PFAS wordt toegelicht in hoofdstuk 3.

 

Deze bodemkwaliteitskaart PFAS vormt een aanvulling op de bestaande bodemkwaliteitskaarten en de nota bodembeheer van Zeeuws-Vlaanderen (lit. 7 t/m 9).

 

De afzonderlijke rapportage voor PFAS heeft een tijdelijk karakter, om de voortgang van projecten te bespoedigen. Bij de eerstvolgende actualisatie van de bestaande bodemkwaliteitskaarten wordt voorliggende bodemkwaliteitskaart PFAS geïntegreerd in desbetreffende rapportages.

 

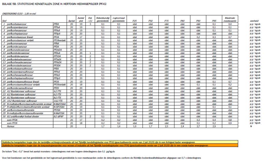
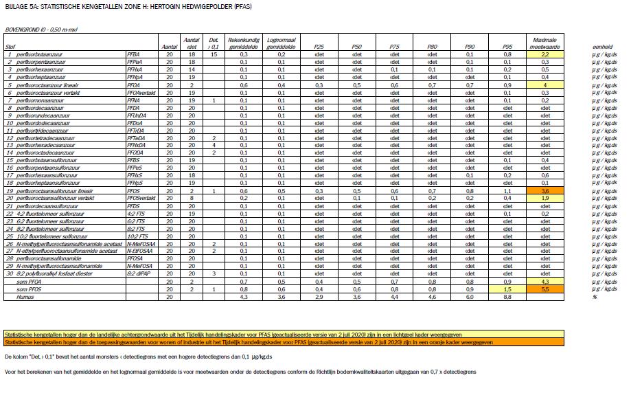
De bodemkwaliteitskaart van de gemeente Hulst is in december 2019 al specifiek voor de zone ‘H Hertogin Hedwigepolder’ aangevuld met PFAS in verband met de voorgenomen werkzaamheden in dit gebied (lit. 8). Bijlage 5 bevat de statistische kengetallen voor PFAS van deze zone (getoetst aan het tijdelijk handelingskader van 2 juli 2020, verder ongewijzigd overgenomen uit lit. 8).

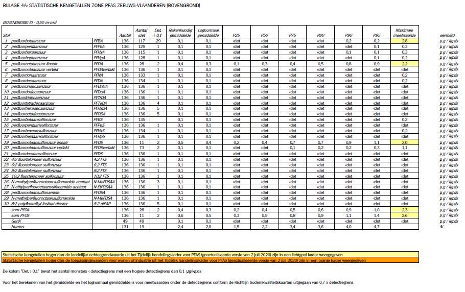
Samenvatting statistische kengetallen PFAS Zeeuws-Vlaanderen (bovengrond) :

 

PFOA (som lineair+vertakt)

PFOS (som lineair+vertakt)

 

Rekenkundig gemiddelde

95-percentiel-waarde

Rekenkundig gemiddelde

95-percentiel-waarde

Zone PFAS Zeeuws-Vlaanderen

0,4 μg/kgds

1,0 μg/kgds

0,6 μg/kgds

1,4 μg/kgds

Zone H: Hertogin Hedwigepolder

0,7 μg/kgds

0,9 μg/kgds

0,8 μg/kgds

1,5 μg/kgds

 

 

Achtergrondwaarden PFAS in Zeeland

 

In een afzonderlijk rapport zijn de achtergrondwaarden voor PFAS in Zeeland bepaald (lit. 10).

 

Daarbij is aangesloten op de methodiek waarmee begin deze eeuw in het AW2000-project (lit. 11) voor een groot aantal stoffen de landelijke achtergrondwaarden zijn bepaald. De achtergrondwaarden uit het AW2000-project geven de bandbreedte van gehalten aan die in het relatief onbelaste buitengebied van Nederland voorkomen en zijn als normering opgenomen in bijlage B van de Regeling bodemkwaliteit.

 

Voor PFOA en PFOS worden in de bovengrond meestal gehalten boven de detectiegrens gemeten.

Voor de provincie Zeeland zijn de volgende achtergrondwaarden bepaald:

  • PFOA (som lineair + vertakt): 1,2 μg/kgds

  • PFOS (som lineair + vertakt): 1,2 μg/kgds

 

Deze provinciale achtergrondwaarden zijn hoger dan de voorlopige achtergrondwaarden uit het tijdelijk handelingskader uit november 2019, maar lager dan de definitieve achtergrondwaarden uit het tijdelijk handelingskader PFAS van 2 juli 2020.

 

 

Toepassingsnormen voor PFAS

 

Zoals hiervoor al opgemerkt heeft het tijdelijk handelingskader voor PFAS geen formele, juridische status. In een nieuw hoofdstuk 7 van de nota bodembeheer (lit. 12) is daarom vastgelegd hoe de achtergrondwaarden en de toepassingswaarden uit het tijdelijk handelingskader worden gehanteerd in Zeeuws-Vlaanderen.

 

 

 

1.3 Vereenvoudigde vaststellingsprocedure voor PFAS

 

Door het vaststellen van deze bodemkwaliteitskaart voor PFAS en de aanvullende paragraaf over PFAS in de nota bodembeheer kan een aantal projecten weer verder, vermindert de noodzaak tot het uitvoeren van PFAS-analyses en wordt er duidelijkheid geboden over de te hanteren toetsingsnormen.

 

Normaliter wordt gebiedsspecifiek beleid op grond van het Besluit bodemkwaliteit vastgesteld door de gemeenteraad, waarbij een openbare voorbereidingsprocedure conform Afdeling 3.4 van de Algemene wet bestuursrecht wordt gevolgd (o.a. 6 weken ter inzage voor inspraak).

 

In december 2019 is het Besluit bodemkwaliteit gewijzigd, waarbij voor het vaststellen van gebiedsspecifiek beleid voor PFAS een uitzondering in het Besluit bodemkwaliteit is opgenomen (lit. 14). Die houdt in dat het College van B&W in plaats van de gemeenteraad dit mag vaststellen en dat er geen openbare voorbereidingsprocedure nodig is . Wel geldt dat het pas in werking mag treden minimaal een week nadat de raad en het publiek ervan kennis hebben kunnen nemen.

 

Hiermee wil de regering de mogelijkheid bieden om stagnatie in projecten door PFAS zo snel mogelijk op te heffen.

 

 

2 VERANTWOORDING DATASET

 

 

2.1 Gestratificeerd aselecte steekproef in het buitengebied

 

Steekproef van 40 meetpunten in het buitengebied van Zeeuws-Vlaanderen

 

In het najaar van 2019 is een gestratificeerd aselecte steekproef genomen van 40 locaties verspreid over het buitengebied van Zeeuws-Vlaanderen. Daarvoor is het buitengebied ingedeeld in 40 vakken met een ongeveer gelijke oppervlakte. Binnen deze vlakken zijn punten gegenereerd met random x- en y-coördinaten.

 

Bij deze steekproef is geen onderscheid gemaakt op basis van het landgebruik. De steekproef bevat meetpunten in akkers, weilanden, (voormalige) boomgaarden en natuur.

 

 

Toelichting op de steekproef

 

De locaties zijn geselecteerd in het gebied dat in de bodemfunctiekaart de bodemfunctieklasse ‘overig’ (landbouw/natuur) heeft.

 

Uit dit gebied zijn weggesneden:

  • de grote oppervlaktewaterlichamen van het Kanaal van Gent naar Terneuzen, de Braakman en de spaarbekkens bij Philippine;

  • de Hertogin Hedwigepolder (al onderzocht en verwerkt in de bodemkwaliteitskaart van de gemeente Hulst).

 

Aanvullend is een gebied van circa 60 hectare meegenomen in het steekproefgebied dat sinds 2015 de bodemfunctieklasse Wonen heeft, maar nu nog landbouwgebied is.

 

Dit levert een steekproefgebied op van 644,8 km2, oftewel 1 meetpunt per 16 km2.

 

De steekproef is vervolgens gestratificeerd aselect uitgevoerd:

  • het gebied is ingedeeld in 40 rechthoekige vakken die ongeveer dezelfde oppervlakte buitengebied bevatten;

  • (vakken op basis van hele of halve kilometers in het Nederlands coördinatenstelsel)

  • per vak zijn 5 trekkingen gedaan (genummerd van 1 t/m 5) door random x- en y-coördinaten binnen deze rechthoekige vakken te bepalen;

  • meestal is uitgegaan van de 1e trekking, maar als het meetpunt buiten het gebied valt (in de Westerschelde of België) dan wel op wegen of bebouwing terechtkomt is de volgende trekking genomen;

  • voor twee vakken (35 en 37) leverde deze eerste steekproef geen geschikt meetpunt op en is aanvullend een tweede steekproef gedaan.

 

 

 

Dieptetraject en monsternamestrategie in het veld

 

Er is gekozen voor bemonstering van de dieptetrajecten 0,0 - 0,5 m-mv en 0,5 - 1,0 m-mv. In aanvulling hierop zijn 6 boringen dieper doorgezet om ook het dieptetraject 1,0 – 2,0 m-mv te bemonsteren en analyseren.

 

Er is volstaan met enkelvoudige boringen als meest zuivere steekproef van de gehalten (in plaats van samenstellen van mengmonsters uit meerdere boringen).

 

Bij de uitvoering leverde de toegankelijkheid bij een aantal locaties uit de steekproef problemen op vanwege toestemming van terreineigenaren. In voorkomende gevallen zijn de boringen in de uitvoering een stukje verplaatst, in het algemeen naar een vergelijkbare plek op hooguit een paar honderd meter afstand. In één geval is een alternatieve locatie uit de steekproef aangeleverd.

 

 

2.2 Gegevens uit het bodeminformatiesysteem

 

Op 19 maart 2020 is een export uit het bodeminformatiesysteem Nazca gemaakt van alle bodemonderzoeken in Zeeland met analyseresultaten van PFAS. In totaal bevatte deze export 165 op PFAS geanalyseerde grondmonsters uit 33 bodemrapporten .

 

Uit deze export zijn 65 monsters om de volgende redenen niet bruikbaar:

  • 60 x bemonstering van een te groot dieptetraject (boven- en ondergrond samengevoegd)

  • 5 x depotbemonstering of partijkeuring van grond die van elders afkomstig is.

 

Er is verder geen onderscheid gemaakt op basis van onderzoekstype. Normaliter zijn gegevens van saneringslocaties niet bruikbaar voor de bodemkwaliteitskaart omdat het een lokale verontreiniging betreft. PFAS-analyses van saneringslocaties kunnen in bepaalde gevallen toch bruikbaar zijn, omdat het niet om een sanering van een lokale PFAS-verontreiniging gaat.

 

Eén bodemonderzoek aan de Willemskerkeweg in Terneuzen is uitgesloten van de statistische kengetallen, omdat dit onderzoek is uitgevoerd vanwege een calamiteit waarbij een lokale verontreiniging met PFAS is ontstaan.

 

Dit levert voor de gemeenten in Zeeuws-Vlaanderen de volgende aantallen bruikbare gegevens uit overige bodemonderzoeken op:

Gemeente

Aantal bodemrapporten met bruikbare PFAS-analyses

Aantal bruikbare analyses bovengrond (0-0,5 m-mv)

Aantal bruikbare analyses ondergrond (0-0,5 m-mv)

Hulst

20

77

58

Sluis

8

13

10

Terneuzen

3

6

2

 

Voor de ondergrond bevat het bodeminformatiesysteem zowel gegevens uit het dieptetrject 0,5-1,0 m-mv als het dieptetraject 1,0-2,0 m-mv.

Er is gecontroleerd of alle PFAS uit de advieslijst van Bodem+ d.d. 12 juli 2019 ingevoerd zijn in Nazca.

 

In een aantal gevallen zijn missende gegevens nagezocht in het pdf-bestand van het bodemrapport en aangevuld in de dataset. Met name MeFOSAA bleek in een aantal gevallen niet ingevoerd te zijn.

 

Bijlage 1A en 1B bevatten een kaart met de gehalten PFOA en PFOS van de totale dataset (aselecte steekproef + gegevens uit overige bodemonderzoeken).

 

 

 

 

 

 

 

 

3 BODEMKWALITEITSKAART PFAS ZEEUWS-VLAANDEREN

 

 

In het algemeen wordt in een bodemkwaliteitskaart een indeling in zones gemaakt op basis van de historische ontwikkeling van een gebied, zoals de ouderdom van de bebouwing. Voor andere stoffen zijn de gehalten het hoogst in vooroorlogse wijken en kernen. PFAS zijn niet-natuurlijke verbindingen die sinds de jaren 50 van de vorige eeuw door de mens worden geproduceerd, zodat er geen verschil tussen vooroorlogse en naoorlogse bebouwing wordt verwacht.

 

Het Expertisecentrum PFAS heeft een inventarisatie gemaakt van mogelijke bronnen en verontreinigings-routes van PFAS in het milieu (lit. 15).

 

Voor PFAS vormt atmosferische depositie een belangrijke bron van diffuse verontreiniging in de bodem. De diffuse verontreiniging met PFAS is daardoor niet noodzakelijkerwijs gekoppeld aan begrenzingen van de historische ontwikkeling van landgebruik in de gemeentes. De belasting door atmosferische depositie is in het bebouwde gebied niet hoger dan in het buitengebied.

 

Dit wordt bevestigd door de gegevens. Uit de kaarten in bijlage 1A en 1B komt geen geografisch patroon in de gehalten PFOA en PFOS naar voren. De spreiding in de gehalten is in het kleine gebied van de Hertogin Hedwigepolder net zo groot als in de rest van Zeeuws-Vlaanderen.

 

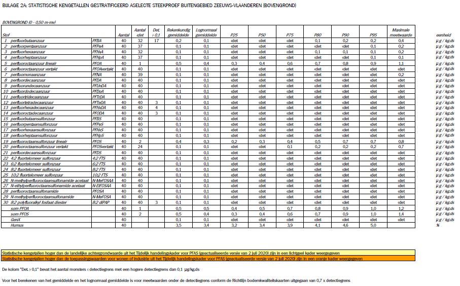
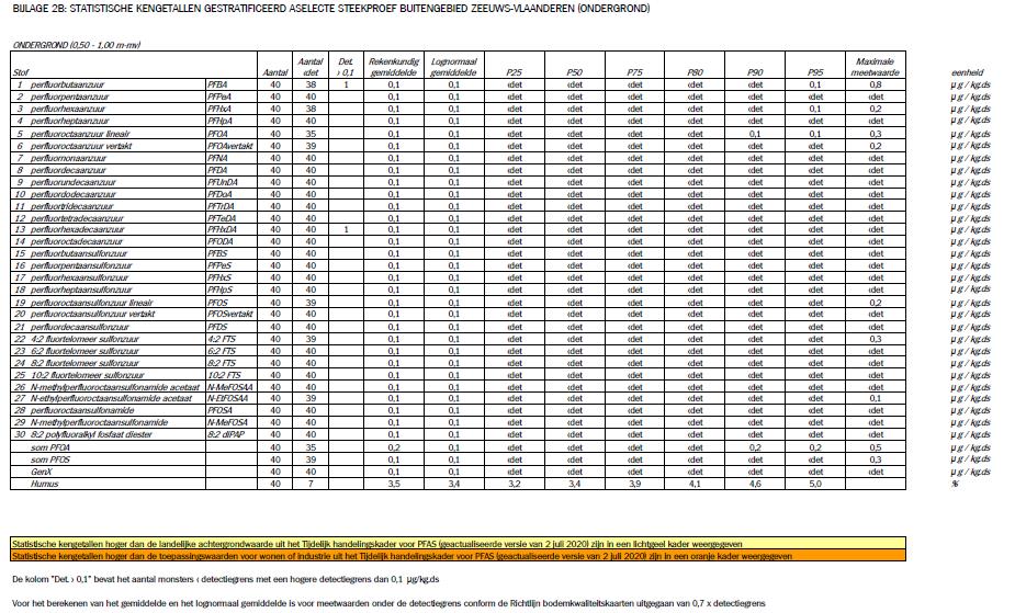
Bijlage 2A en 2B bevatten de statistische kengetallen op basis van de 40 meetpunten uit de gestratificeerd aselecte steekproef in het buitengebied van Zeeuws-Vlaanderen. Deze vertonen een vergelijkbaar beeld als de provinciale achtergrondgehalten uit lit. 10.

 

Deze 40 meetpunten zijn aanvullend geanalyseerd op GenX. Bij geen enkel monster is een gehalte GenX boven de detectiegrens van 0,1 μg/kgds aangetoond.

 

Ter vergelijking bevat bijlage 3 de statistische kengetallen voor PFOA en PFOS in de bovengrond van het bebouwde gebied in de gemeente Hulst en de gemeente Sluis en in het buitengebied. Ook daaruit komt geen verschil naar voren. In de gemeente Terneuzen zijn weinig gegevens uit het bebouwde gebied beschikbaar, maar aangenomen wordt dat de gemeente Terneuzen hierin niet afwijkt van de andere gemeenten.

 

In bijlage 3 zijn de gegevens van het bebouwd gebied afkomstig uit de volgende zones van de gemeentelijke bodemkwaliteitskaarten (lit. 8 en 9):

Bebouwd gebied Hulst

aantal

A Buitengebied en woonwijken > 1960

12

B1 Woonwijken <1960

29

C Hulst Binnenstad

6

D Bedrijfsterreinen

3

E1 Bedrijfsterreinen

1

Niet gezoneerd (bedrijfslocatie Julianastraat Heikant)

1

Bebouwd gebied Sluis

aantal

A Buitengebied en naoorlogse woonwijken

2

C Vooroorlogse kernen 17e eeuw

3

D Bedrijfsterreinen

8

 

 

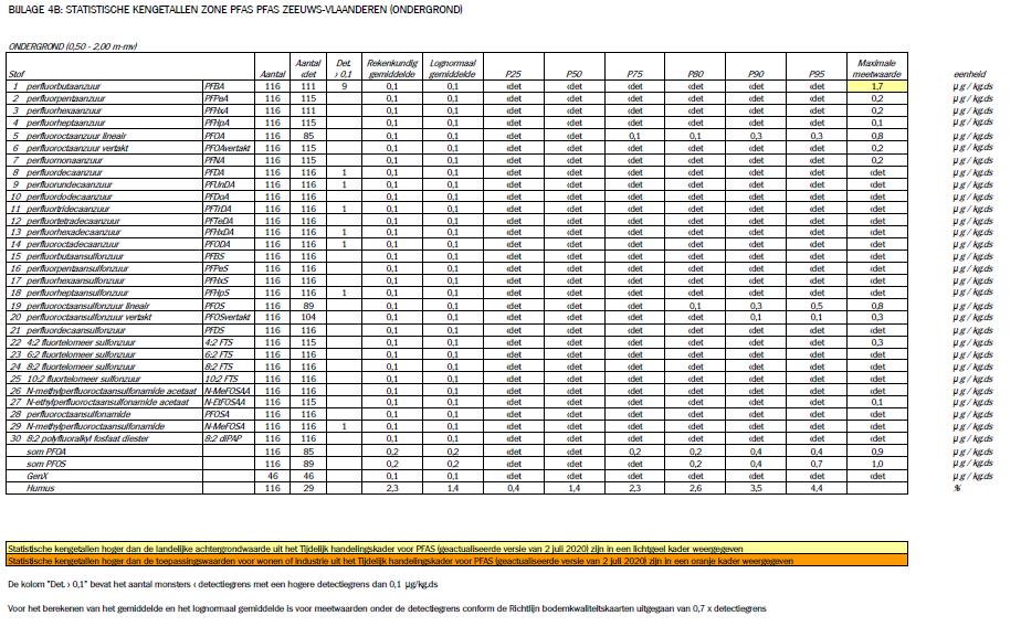
In aanvulling op de eerder gezoneerde Hertogin Hedwigepolder bestaat heel Zeeuws-Vlaanderen voor PFAS uit één zone: de zone PFAS Zeeuws-Vlaanderen. De statistische kengetallen van deze zone zijn opgenomen in bijlage 4A en 4B.

 

Daarbij is onderscheid gemaakt in de volgende dieptetrajecten:

  • bovengrond: 0 – 0,5 m-mv

  • ondergrond: 0,5 – 2,0 m-mv

 

De dataset bevat zowel gegevens van het dieptetraject 0,5-1,0 m-mv als het dieptetraject 1,0-2,0 m-mv. Er is geen verschil in gehalten tussen deze dieptetrajecten, zodat voor de ondergrond de kwaliteit van het dieptetraject 0,5-2,0 m-mv is bepaald.

 

De zone PFAS Zeeuws-Vlaanderen voldoet aan de definitieve landelijke achtergrondwaarden uit het tijdelijk handelingskader PFAS d.d 2 juli 2020 (boven- en ondergrond). Daarbij zijn de gehalten PFOA en PFOS in de bovengrond hoger dan in de ondergrond. In de ondergrond worden meestal geen gehalten boven de detectiegrens aangetoond. Voor de overige PFAS zijn ook in de bovengrond zelden of nooit gehalten boven de detectiegrens aangetoond.

 

Hetzelfde geldt voor de eerder gezoneerde Hertogin Hedwigepolder. De statistische kengetallen van de zone ‘H Hertogin Hedwigepolder’ zijn overgenomen in bijlage 5A en 5B.

 

Bijlage 6 bevat de bodemkwaliteitskaart voor PFAS. Bij grondverzet kan deze als bewijsmiddel (milieuhygiënische verklaring) dienen dat vrijkomende grond aan de landelijke achtergrondwaarden voldoet.

 

 

Ter toelichting op de bijlagen met statistische kengetallen het volgende:

  • De volgorde en nummering van de verschillende PFAS sluit aan bij de nummering op de advieslijst van Bodem+ d.d. 12 juli 2019;

  • De analyseresultaten van PFAS worden in het algemeen gerapporteerd op 1 decimaal nauwkeurig. De uitkomsten van de statistische berekeningen zijn daarom ook op 1 decimaal nauwkeurig afgerond in de bijlagen;

  • Volgens het tijdelijk handelingskader (lit. 3 en 6) vindt bij PFAS (net als bij PAK) alleen een bodemtypecorrectie plaats bij percentages humus (organische stof) hoger dan 10%. Volledigheidshalve zijn ook de statistische kengetallen voor humus vermeld. Aangezien de humuspercentages in het algemeen lager zijn dan 10% is een bodemtypecorrectie normaliter niet aan de orde.

 

 

 

 

 

LITERATUUR

 

 

1.Tijdelijk handelingskader voor hergebruik van PFAS-houdende grond en baggerspecie; Kamerstukken II, 2018/19, 28089 nr. 146, bijlage bij Kamerbrief van 8 juli 2019.

2.Tijdelijke landelijke achtergrondwaarden bodem voor PFOS en PFOA; RIVM, 28 november 2019.

3.Tijdelijk handelingskader voor hergebruik van PFAS-houdende grond en baggerspecie (geactualiseerde versie van 29 november 2019), Kamerstukken II, 2019/20, 35334 nr. 20, bijlage bij Kamerbrief van 1 december 2019.

4.Vervolgacties aanpak PFAS en aanbieding ringonderzoek PFAS, Kamerstukken II, 2019/20, 35334 nr. 80, Kamerbrief van 15 april 2020.

5.Achtergrondwaarden perfluoralkylstoffen (PFAS) in de Nederlandse landbodem; A. Wintersen et al., RIVM-briefrapport 2020-0100, 2020.

6.Tijdelijk handelingskader voor hergebruik van PFAS-houdende grond en baggerspecie (geactualiseerde versie van 2 juli 2020), Kamerstukken II, 2019/20, 35334 nr. 116, bijlage bij Kamerbrief van 3 juli 2020.

7.Bodemkwaliteitskaart gemeente Terneuzen, actualisatie 2015; Marmos Bodemmanagement, 19 oktober 2015.

8.Bodemkwaliteitskaart gemeente Hulst, actualisatie 2015, inclusief aanvullingen 2017+2019; Marmos Bodemmanagement, 1 december 2019.

9.Bodemkwaliteitskaart gemeente Sluis, actualisatie 2015; Marmos Bodemmanagement, 19 oktober 2015.

10.Achtergrondwaarden PFAS in Zeeland; Marmos Bodemmanagement, 19 juni 2020.

11.Achtergrondwaarden 2000, TNO-rapport NITG 04-242-A; F.P.J. Lamé (TNO-NITG), D.J. Brus (Alterra) en R.H. Nieuwenhuis (TNO-NITG), 10 december 2004.

12.Nota bodembeheer voor de landbodem van Zeeuwsch-Vlaanderen; Marmos Bodemmanagement, 4e herziening, 25 september 2020.

13.Richtlijn bodemkwaliteitskaarten; Ministerie van VROM en Ministerie van Verkeer en Waterstaat; gepubliceerd via website NEN, 7 september 2007, inclusief wijzigingsblad d.d. 1 januari 2016.

14.Besluit van 13 december 2019 tot wijziging van het Besluit bodemkwaliteit in verband met de versnelling van de totstandkomingsprocedure voor het vaststellen van gebiedsspecifiek beleid voor PFAS; Staatsblad van het Koninkrijk der Nederlanden, jaargang 2019, nummer 491.

15.Een handelingskader voor PFAS – mogelijkheden voor het omgaan met PFAS in grond en grondwater; Expertisecentrum PFAS, 18 juni 2018.

 

Burgemeester en Wethouders van Terneuzen,

gemeentesecretaris,

burgemeester,

 

J.G. (Jan) Princen

J.A.H. (Jan) Lonink

 

 

 

 

 

 

Bijlage 1A: Meetwaarden PFOA totale dataset (bovengrond)

 

 

Bijlage 1B: Meetwaarden PFOS totale dataset (bovengrond)

 

 

Bijlage 2A: Statistische kengetallen gestratificeerd aselecte steekproef buitengebied Zeeuws-Vlaanderen (bovengrond)

 

 

Bijlage 2B: Statistische kengetallen gestratificeerd aselecte steekproef buitengebied Zeeuws-Vlaanderen (ondergrond)

 

 

Bijlage 3: Vergelijking statistische kengetallen bebouwd gebied en buitengebied (bovengrond)

 

 

Bijlage 4A: Statistische kengetallen zone PFAS Zeeuws-Vlaanderen (bovengrond)

 

 

Bijlage 4B: Statistische kengetallen zone PFAS Zeeuws-Vlaanderen (ondergrond)

 

 

Bijlage 5A: Statistische kengetallen zone H Hertogin Hedwigepolder (PFAS) (bovengrond)

 

 

Bijlage 5B: Statistische kengetallen zone H Hertogin Hedwigepolder (PFAS) (ondergrond)

 

 

Bijlage 6: Bodemkwaliteitskaart PFAS